Chemical Entity Data Page

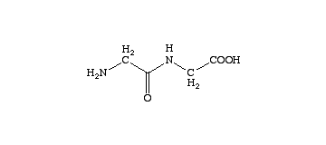
Gly-gly
Glycylglycine
Gly-Gly
C
4
H
8
N
2
O
3
  
 
Real, long lived, electronically neutral reagent chemical.

Gram formula weight (molecular mass) = 132.11
Melting point = 258 °C Decomp.


Dipeptide of the aminoacid glycine.

Glycylglycine
is defined with respect to the entities below:
The entities below are defined with respect to:
Glycylglycine
Amide (AS/A2 generic)


Peptide (AS/A2 generic)


© Mark R. Leach 1999 –


Queries, Suggestions, Bugs, Errors, Typos...

If you have any:

Queries
Comments
Suggestions
Suggestions for links
Bug, typo or grammatical error reports about this page,

please contact Mark R. Leach, the author, using mark@meta-synthesis.com