Chemical Entity Data Page
|
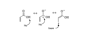
Acrylic acid Propenoic acid |
||||||||||
|
|
||||||||||
|
Real, long lived, electronically neutral reagent chemical. Gram formula weight (molecular mass) = 72.062 Melting point = 13 °C Boiling point = 139 °C Density = 1.051 g/cm3 Purity = 99 % Solubility in organics = infinitely miscible Molar absorbtivity = 91 at 252 nm Polymerisation inhibitor required.
|
|||||||||
| |
|
Acrylic acid is defined with respect to the entities below: |
The
entities below are defined with respect to: Acrylic acid |
© Mark R. Leach 1999 –
Queries, Suggestions, Bugs, Errors, Typos...
If you have any:
Queries
Comments
Suggestions
Suggestions for links
Bug, typo or grammatical error reports about this page,please contact Mark R. Leach, the author, using mark@meta-synthesis.com
